Bilgi

Kinetik Enerji Nedir? Kinetik Enerji Çeşitleri Nelerdir?

Tarih |

Kinetik enerji, bir cismin hareketinden dolayı sahip olduğu enerjidir. Eğer bir nesneyi ivmelendirmek istiyorsak, ona bir kuvvet uygulamamız gerekir. Kuvvet uygulamak iş yapmamızı gerektirir. İşin yapılmasıyla enerji nesneye aktarılır ve bu nesne yeni bir sabit süratle hareket eder. Aktarılan bu enerjiye kinetik enerji denir ve nesnenin kütlesine ve ulaştığı sürate bağlıdır.

Kinetik enerji nesneler arasında aktarılabilir ve diğer enerji türlerine dönüştürülebilir. Örneğin, uçan bir sincap durmakta olan bir sincaba çarpabilir. Çarpışmadan sonra uçan sincabın başlangıçtaki kinetik enerjisinin bir kısmı durmakta olan sincaba aktarılabilir ya da diğer enerji çeşitlerine dönüştürülebilir.

Cismin hareketine göre üç çeşit kinetik enerji vardır. Bunlar; öteleme kinetik enerjisi, dönme kinetik enerjisi, yüksek hızda kinetik enerji olmak üzere üç türdür.

1- Öteleme Kinetik Enerjisi

Doğrusal bir yolda giden cismin kinetik enerjisidir. Sabit bir F kuvveti altında, doğrusal bir yolda x kadar yol alan bir cisim düşünelim. x yolunun sonunda cismin sahip olduğu enerji, F kuvvetinin yaptığı işe eşittir. Newton’un ikinci kanununa göre bir cisme etkiyen net kuvvet, ona kütlesiyle ters orantılı ivme kazandırır.

2- Dönme Kinetik Enerjisi

Kütle merkezinden geçen bir doğru etrafında dönen cisimlerin sahip olduğu kinetik enerjidir. Açısal hızıyla dönen bir cismi parçalara ayırırsak, tüm parçaların toplam enerjisi bize cismin kinetik enerjisini verir.

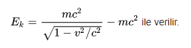
3- Yüksek Hızda Kinetik Enerji

Newton mekaniğinin yasaları, sadece ışık hızına kıyasla küçük hızlarda hareket eden parçacıkların hareketlerini tanımlamada geçerlidir. Parçacık hızları c ile karşılaştırılabilir olduğunda, Newton mekaniğindeki denklemler, yerini görelilik teorisinin öngördüğü daha genel denklemlere bırakır.

"Yorum Yazın"

E-posta adresiniz yayınlanmayacak. Gerekli alanlar * ile işaretlenmişlerdir

Popüler Yazılar

Exit mobile version